هزینههای میلیونی برای معرفی یک مدیر ناموفق/ دورهمی خانوادگی در یک شهر تاریخی!+اسناد
مجمع عمومی فدراسیون تیراندازی با کمان در حالی برگزار شد که تعدادی از اعضای مجمع به صورت خانوادگی حضور داشتند.
مجمع عمومی و سالیانه فدراسیون تیراندازی با کمان روز پنجشنبه در حالی در اصفهان برگزار شد که در این مجمع برای یک کاندیدای خاص تبلیغات زیادی صورت گرفت.
در حالی که از مدتها پیش شایعه حضور غلامرضا شعبانیبهار معاون ورزش همگانی وزارت ورزش در این فدراسیون وجود داشت، در حالی که وی هنوز به طور رسمی اقدامی برای ثبتنام نکرده، اما با ریاستش در مجمع روز پنجشنبه تبلیغات زیادی را برای ریاست در این فدراسیون شاهد بود.
جالب اینکه طی روزهای اخیر که شایعه حضور شعبانی بهار در فدراسیون تیر و کمان به گوش می رسید، وی با سیاست از پاسخ به این سئوال طفره رفت اما در مجمع تیر و کمان حسابی برای وی سنگ تمام گذاشتند تا مشخص شود این مدیر وزارت ورزش و جوانان از وزارت رفتنی است. مردی که در دوره حضورش در معاونت همگانی هرگز کارنامه قابل قبولی بر جای نگذاشته و حال مشخص نیست با چه متر و معیاری قرار است ریاست یکی از فدراسیون های مهم و المپیکی را بر عهده بگیرد.
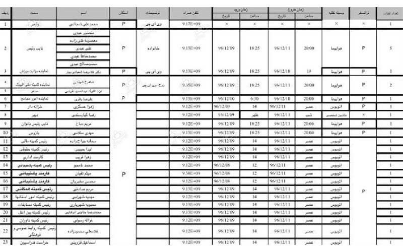
اما ماجرا دیگری که در این مجمع به نظر عجیب میرسید، حضور اعضای مجمع با خانوادههایشان بود. تعدادی از اعضای مجمع به صورت دستهجمعی با خانوادههای خود در مجمع حضور پیدا کردند و فدراسیون نیز هزینه رفت و آمد با هواپیما و استقرار در هتل را تقبل کرده بود. افراد دیگری نیز برای حضور در مجمع دعوت شده بودند که حضورشان کاملا غیرضروری بود. به عنوان مثال رئیس سایت، روسای کمیتههای مختلف فدراسیون و … نیز حضور داشتهاند.
در حالی که شنیده شده برای این مجمع مبلغی بر ۳۰۰ میلیون تومان هزینه شده، در مقابل عملکرد فدراسیون در قبال ورزشکاران جالب است که براساس شنیدهها از کمانداران حاضر در اردوی اهواز، مبلغی اخذ شده. یعنی ورزشکاران تیم ملی که در اهواز اردو داشتند، خودشان هزینه این اردو را تقبل کردند.
فدراسیون تیراندازی با کمان در حالی برای یک مجمع هزینه کرده که بارها برای اعزام ورزشکاران از خانوادههایشان پول گرفته است. مسئولان وزارت ورزش در مصاحبههای خود بارها از روسای فدراسیونها خواستهاند از هزینهها و اعزامهای اضافی جلوگیری کنند.
ثبتنام از نامزدهای تیراندازی با کمان روز دوشنبه به پایان میرسد. محمدعلی شجاعی در حال حاضر سرپرست فدراسیون بوده و دوره ریاست وی خردادماه به پایان رسیده است.















